
间位芳纶纤维(PMIA)因具有优异的耐高温、阻燃和机械性能,被广泛应用于消防防护和航空航天等领域。然而,其分子链刚性强、氢键网络致密,自由体积小,导致染料难以扩散进入纤维内部,染色性能较差。本研究采用等离子表面活化与载体染色协同策略,通过实验与分子动力学模拟相结合,揭示了载体调控PMIA氢键网络与分子链结构的作用机制,为高性能芳纶纤维的高效染色提供了新的技术思路。

图1 间位芳纶(PMIA)氢键作用示意图。
本文,江南大学朱博课题组通过实验表征与分子动力学模拟,提出了等离子体表面活化与醇类载体协同染色策略。研究发现,等离子体处理能够激活PMIA纤维表面,而醇类载体通过削弱PMIA分子间氢键作用,显著提高分子链运动能力并增加自由体积,从而促进染料向纤维内部扩散并形成更多结合位点。在最佳条件下,PMIA织物的染色深度(K/S值)达到20.6,上染率达到93.4%,染色均匀性与渗透性显著提升,同时保持优异的色牢度、热稳定性和力学性能。模拟结果进一步揭示了醇类载体对PMIA氢键网络与微观结构的调控机制,为高性能芳纶纤维的高效染色提供了理论依据。相关研究成果以“Molecular dynamics analysis of benzyl alcohol-assisted dyeing mechanisms in plasma-modified meta-aramid fibers” 为题,发表在《Chemical Engineering Journal》期刊上。江南大学纺织科学与工程学院的硕士研究生严鑫涛和博士研究生王矿为论文的共同第一作者。

图2 等离子体/苯甲醇调控间位芳纶纤维结构及强化染料吸附路径示意图。

图3 间位芳纶非结晶区在醇类载体/染料溶液中的分子动力学模拟模型构建流程。

图4 间位芳纶染色工艺流程图及强化染料吸附路径。

图5 聚合度为 1 的间位芳纶(PMIA)与苯甲醇的静电势及静电势表面(ESO)图。(a) 间位芳纶(PMIA)静电势图。(b) 苯甲醇静电势图。
PMIA与醇类载体分子的静电势分布揭示了其氢键作用位点。PMIA酰胺基中的-NH为正静电势区、羰基O为负静电势区,而醇类载体-OH基团既可作为氢键供体也可作为受体。当两者接触时,可形成N-H···O 与O-H···O两类氢键,与PMIA原有氢键网络发生竞争,从而削弱分子间氢键、增大链间距并促进染料扩散进入纤维内部,最终提高PMIA的染色性能。

图6 (a) 氢键长度;(b) 氢键键角;(c) 氢键数量变化;(d) 平均氢键数量;(e) 不同模型的径向分布函数(RDF);(f) 不同模型的相互作用能及相互作用能密度。
分子动力学模拟表明,随着醇类载体浓度的增加,PMIA分子间氢键长度增大、角度偏离和数量减少,氢键网络逐渐被削弱,使链段束缚降低、结构趋于松弛,从而为染料扩散提供更多通道,并显著增强染料与PMIA非晶区的相互作用能,最终提升纤维的染色性能。

图7 不同体系的内聚能密度;(b) 不同体系的平均内聚能密度;(c) 不同体系的溶解度参数;(d) 不同体系的平均溶解度参数;(e) 不同体系的自由体积分布;(f) 不同体系的均方位移(MSD)。
随着醇类载体浓度的增加,PMIA体系的内聚能密度(CED)和溶解参数整体下降,说明分子间作用力减弱、氢键网络被破坏,使链段结构逐渐松弛。同时,自由体积分数显著增加,为染料分子扩散提供了更多通道;链段运动能力(MSD)也随之增强,进一步降低染料扩散能垒。当醇类载体浓度达到较高水平时,由于体系可能发生局部重新排列,CED和溶解参数略有回升,链运动增强趋势趋缓。整体来看,醇类载体通过削弱PMIA氢键网络、增加自由体积并促进链段运动,从微观层面解释了PMIA染色性能提升的机制。

图 8 (a) 不同处理条件下间位芳纶(PMIA)的扫描电镜(SEM)图;(b) 不同等离子体处理时间下间位芳纶表面与水的接触角 θ。
SEM显示醇类载体使PMIA表面由致密转为疏松,而等离子体刻蚀进一步形成微孔与沟槽,两者协同显著提高表面粗糙度和活性位点。同时,接触角由74.3°降至10.6°,表明纤维润湿性大幅提升,为染料吸附与扩散提供了更加有利的界面条件。

图 9 (a) 苯甲醇处理前后间位芳纶的 XRD 图谱;(b) 苯甲醇处理前后间位芳纶的结晶度;(c) 等离子体处理前后间位芳纶的 XRD 图谱;(d) 等离子体处理前后间位芳纶的结晶度。
XRD结果显示,醇类载体处理未破坏PMIA晶体结构,但通过溶胀与塑化作用使链段重新排列,结晶度略有提高;而等离子体处理则降低结晶度、增加非晶区比例,从结构上促进染料扩散与结合。

图 10 (a) 处理前后间位芳纶的 FT-IR 光谱;(b) 处理前后间位芳纶氢键强度变化;(c) XPS 全谱;(d)-(i) XPS 的 C1s 高分辨谱图。
FTIR与XPS结果表明,醇类载体主要通过削弱PMIA氢键网络、促进链段松弛并暴露酰胺基团;而等离子体处理则在纤维表面引入羟基、羧基等极性官能团并增强表面氧化程度。两种机制分别从分子结构调控与表面功能化角度协同提升PMIA的染料结合能力。

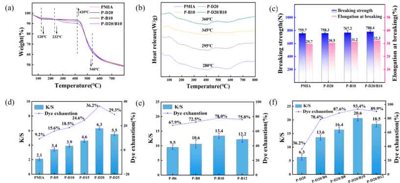
图 11 (a) 不同条件染色后间位芳纶的热重(TG)曲线;(b) 不同条件染色后间位芳纶的差示扫描量热(DSC)曲线;(c) 不同处理染色后间位芳纶的力学性能;(d) 等离子体处理时间对间位芳纶染色性能的影响;(e) 苯甲醇浓度对间位芳纶染色性能的影响;(f) 20 min 等离子体处理下苯甲醇浓度对间位芳纶染色性能的影响。
TG-DSC结果表明,醇类载体和等离子体处理并未降低PMIA的热稳定性。相反,在协同处理条件下样品的热转变温度提升至约360 ℃,说明表面活化与链段重排产生协同作用,使纤维在保持高耐热性的同时实现染色性能提升。力学性能测试表明,等离子体处理和醇类载体处理均未破坏PMIA纤维结构,反而使断裂强力和断裂伸长率略有提升。其中P-D20和P-B10样品分别表现出轻微增强,而协同处理(P-D20/P-B10)表现最佳,断裂强力和伸长率均达到最高值,说明适度的表面活化与链段松弛有利于应力传递与结构稳定。染色性能结果表明,随着等离子体处理时间和醇类载体浓度增加,PMIA的K/S值和上染率显著提高,在20 min等离子体处理和10%醇类载体条件下达到最优。协同处理样品表现出更高的K/S值和染料吸附率,最高分别达到20.6和93.4%,说明表面极性基团引入与内部自由体积增加形成协同作用,使染料既能快速吸附于纤维表面,又能有效扩散进入纤维内部,从而显著提升PMIA的染色性能,同时保持良好的力学性能。

图 12 染色后间位芳纶织物的截面与表面照片。
纤维截面与表面染色照片表明,未处理PMIA纤维中染料主要集中在表层,纤维内部几乎无明显着色,说明染料难以向内部扩散。经等离子体处理后,纤维表面活性提高,染料向内部的渗透有所改善,但仍以表层染色为主。相比之下,10%醇类载体处理样品的纤维截面已出现明显染料扩散,说明载体能够促进染料进入纤维结构。而等离子体与醇类载体协同处理后,纤维截面颜色分布最为均匀,染料渗透深度显著增加,表明表面活化与内部溶胀的协同作用能够有效促进染料在PMIA纤维中的扩散与渗透。