随着柔性电子在智能穿戴、人机交互、软体机器人等领域的快速发展,柔性应变传感器因其能贴合复杂表面、适应大变形等优势,成为研究热点。然而,在复杂温度环境下,传感器信号漂移、灵敏度下降以及工作范围收窄等问题始终未得到有效解决,极大限制了其实际应用。

近日,厦门理工学院牛世聪博士、闫书宗博士、王翔教授联合上海海事大学孙士斌教授在期刊《Chemical Engineering Journal》上发表题为“Ultra-thermostable electrospinning fibrous strain sensor with near-zero temperature coefficient across a wide temperature range for human motion and structural health monitoring”的研究论文。研究者通过静电纺丝技术结合O2等离子体处理、预拉伸及超声诱导自组装工艺,成功构建了一种具有互穿多壁碳纳米管/聚苯胺纳米棒(MWCNTs/PANI)导电网络的热塑性聚氨酯(TPU)纤维膜(MPT),实现了宽温域下的高稳定应变传感。

图1:MPT纤维膜的制备流程及其柔韧性与透气性展示。
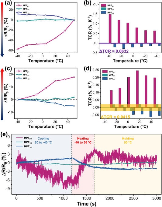
通过优化MWCNTs与PANI的质量比为1:1,研究者巧妙实现了TPU基体热膨胀引起的正温度系数(PTC)行为与MWCNTs/PANI杂化导电层负温度系数(NTC)特性的相互补偿。该补偿机制使得传感器在-40°C至50°C的宽温度范围内实现了近零温度系数(TCR),在-10°C至50°C的实际工作窗口内展现出优异的响应稳定性。

图2:MPT传感器在宽温域下的电阻变化规律与TCR特性。
该MPT柔性应变传感器还具备优异的透气性(水蒸发速率约为医用PU胶带的10倍)、宽传感范围(0-270%)、高灵敏度(最大GF值达91.0)、快速响应/恢复时间(200 ms/400 ms)以及超过6000次疲劳耐久性。其传感机制归因于MWCNTs/PANI互穿导电网络在应变下的“阶段性重构”行为。

图3:MPT应变传感器在-10°C下的应变传感性能。

图4:MPT应变传感器的应变传感机制示意图。
在应用演示中,MPT传感器成功实现了对人体微笑、呼吸、吞咽、手指弯曲等动作的稳定监测,甚至能清晰捕捉到桡动脉脉搏波(P波、T波、D波)。此外,传感器被集成到机械臂系统中,实现了多点位应变信号的实时采集,展现出在结构健康监测(SHM)领域的巨大潜力。该研究为开发宽温域热稳定、宽工作范围、透气性强的下一代柔性应变传感器提供了可行路径,在智能穿戴、人机交互、结构健康监测等领域具有广泛的应用前景。

图5:MPT传感器在人体运动与结构健康监测中的应用
论文链接:https://doi.org/10.1016/j.cej.2026.175693
人物简介:
牛世聪,博士,硕士研究生导师,厦门理工学院机械与汽车工程学院讲师。主要从事微/纳功能材料与器件、极端环境器件性能检测及人体健康状态监测等领域的研究与教学工作。主持或参与企事业单位委托重大科研项目及上海市自然科学基金面上项目等。以第一作者在国际权威期刊发表SCI论文多篇,获授权专利1项、实用新型专利8项。
闫书宗,博士,硕士研究生导师,厦门理工学院机械与汽车工程学院讲师。主要从事机器视觉、智能制造及热轧过程测控技术等领域的研究与教学工作。主持或参与多项重大产学研合作项目,作为核心成员参与多家头部企业的热连轧非对称测控系统、粗轧镰刀弯检测系统等横向课题。以第一作者在国际权威期刊发表SCI论文多篇,获授权发明专利10余项。
王翔,博士,教授,硕士研究生导师,厦门理工学院机械与汽车工程学院副院长。主要从事微纳喷印、功能薄膜批量制造及柔性电子集成等领域研究。主持或参与国家级、省部级项目10余项。公开发表SCI/EI收录的学术论文80余篇,参与撰写专著1部。获福建省科技进步二等奖、厦门市科技进步二等奖、中国发明协会发明创新奖创业奖一等奖各1项。
孙士斌,博士,教授,博士研究生导师,上海海事大学物流科学与工程研究院党委副书记、院长。长期从事港航物流装备表面工程与微纳功能器件领域的研究,主持或参与国家自然科学基金、上海市自然科学基金、国家重点研发计划子课题等项目10余项,曾获山东省自然科学二等奖、上海海事大学教学成果一等奖、刘浩清教育优秀奖等荣誉。