由于化石燃料产生的温室气体加剧了全球变暖。此外,石油和天然气储量的迅速枯竭对未来构成了严重问题。在各种潜在的替代能源选择中,燃料电池提供了最有前景的解决方案。而阴离子交换膜燃料电池(AEMFCS)作为一种燃料电池类型,能够将氢氧根离子从阴极迁移至阳极,具有催化剂价格低廉、燃料交叉渗透低以及氧化还原反应动力学高等优点,是一种非常具有前景的燃料电池。
阴离子交换膜(AEMS)作为AEMFCS中的核心部件,充当氢氧根离子的载体以及燃料和电子的屏障,要求具有高的氢氧化物导电性、理想的机械稳定性以及出色的碱性稳定性。目前,阴离子交换膜存在两个主要的技术障碍:氢氧根离子导电性和尺寸稳定性之前的权衡问题以及较差的化学稳定性阻碍了AEMS的进一步应用。

近日,东北大学车全通副教授团队在期刊《International Journal of Hydrogen Energy》上,发表了最新研究成果 “ Multilayered structure promoting hydroxide ions conduction in anion exchange membranes deriving from the biomaterial of functionalized sesbania gum”。研究者通过旋涂和静电纺丝工艺,制备了基于田菁胶生物材料,具有良好柔性和韧性的多层结构的阴离子交换膜。

图1:(QSG/CSG)3基复合膜的制备流程示意图。

图2:PN/(QSG/CSG)3/PN膜中合理氢氧根离子传导过程示意图。
其中,季铵化田菁胶(QSG)和羧甲基化田菁胶(CSG)的多层分布构成了微观结构中的连续亲水通道。外层聚偏二氟乙烯纳米纤维层(PN)起到了保护的作用,以增加内层(QSG/CSG)3的化学稳定性。

图3:(QSG/CSG)3基复合膜的微观结构表征。
通过SEM和AFM图像对复合膜的形态进行了直观观察。通过静电纺丝技术结合后的(QSG/CSG)3基复合膜表面的纤维结构,源自外层的聚偏二氟乙烯 (PVDF) 和磺化聚偏二氟乙烯 (SPVDF) 纳米纤维层。在经过碱性亲水离子液体 BmimOH改性后,纳米纤维被BmimOH分散。横截面SEM图像显示了(QSG/CSG)3基复合膜具有紧密的微观结构,没有明显的分层现象。即使经过双向拉伸测试以及碱稳定性测试后,这些复合膜的微观结构依然稳定。


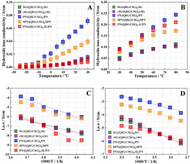
图4:(QSG/CSG)3基复合膜的氢氧根离子电导率与阿伦尼乌斯图。
如图4所示,(QSG/CSG)3基复合膜的氢氧根离子电导率(σ)随温度的升高而增加,且与离子交换能量IEC强烈相关。其中,PN/(QSG/CSG)3/PN膜呈现出最大的σ值,例如在-25℃时为 (2.37 ± 0.982) mS/cm,在0C时为 (20.7 ± 3.25) mS/cm,在30℃时为 (71.0 ± 4.84) mS/cm,在80℃时为 (243 ± 6.13) mS/cm。

图5:(QSG/CSG)3基复合膜在零下 25 度至 30 度下的电导率循环图
制备的 (QSG/CSG)3基复合膜在长时测试和加热/冷却循环测试过程中,可保持稳定的氢氧根离子电导率。得益于紧凑的结构能够保证氢氧根离子传输通道的完整性。此外,化学稳定性的PVDF和SPVDF纳米纤维延缓了(QSG/CSG)3层内部功能基团的降解。为进一步开发适合宽域温度范围应用的阴离子交换膜提供新的研究思路。
论文链接:https://doi.org/10.1016/j.ijhydene.2025.153047
人物简介:
车全通,东北大学理学院化学系,副教授,特聘研究员,美国密歇根大学访问学者,辽宁省优秀硕士论文指导教师。主要从事高性能膜电解质制备以及纳米材料自组装等相关研究。作为负责人承担多项科研项目,包括:国家自然基金,教育部,辽宁省自然科学基金,辽宁省教育厅,企业横向以医工交叉合作等。