随着社会的进步和科学的发展,具有优异性能的各向异性导电膜(ACMs)广泛应用于智能温度控制、人体运动检测和电子元件等领域。ACMs的性能研究已成为热门话题,ACMs以其独特的魅力吸引了更多的研究人员加入研究。然而,现有类型ACMs的实际应用有时会受到环境温度变化和特定操作场景的限制。因此,开发一种新型多功能热致ACMs以满足多场景应用已成为目前亟待解决的关键问题。

近日,长春理工大学董相廷教授和谢云蕊副教授在期刊《Journal of Colloid and Interface Science》上,发表了最新研究成果“Electrospun thermotropic anisotropic conductive Janus nanoribbons array membrane endowed with fluorescence and magnetism for multi-scenario applications”。研究者首次提出了热致各向异性导电Janus纳米带阵列膜(TACJAM)的新概念。通过半导体到金属相变产生热电导和磁性的二氧化钒(VO2)首次被用于构建TACJAM。采用双轴平行静电纺丝技术定向排列[Dy(acac)3bipy/PMMA]//[VO2/PMMA]Janus纳米带来制造TACJAM。Janus纳米带作为微观结构单元,赋予TACJAM高热导电各向异性、优异的发光和磁性。通过这些与温度相关的性能,展示了TACJAM在微电路互连和多模防伪中的潜在应用。图1为静电纺丝制备TACJAM的示意图。本研究实现了ACMs的多场景实际应用,为先进ACMs的未来发展提供了新的策略。

图1:静电纺丝制备TACJAM的工艺示意图。
所制备的TACJAM具有良好的纳米带形貌,Janus纳米带排列紧密而整齐。Janus纳米带的内部能够形成两个独立的微观区域,将Dy(acac)3bipy和VO2分别限制在各自的区域内,避免了不同功能物质之间的不利相互作用,使TACJAM获得了优异的多功能性(如图2)。

图2:不同VO2含量的TACJAM中Janus纳米带的光学显微镜照片(a-c);TACJAM的SEM照片(d)和TACJAM中纳米带的宽度分布直方图(e);TACJAM中单根Janus纳米带的EDS线扫描分析(f)。
当相变发生时,在68.13 °C存在一个明显的吸热峰,然后在冷却过程中在59.08 °C出现一个放热峰。位于68.13 °C的峰值对应于TACJAM的相变温度。TACJAM的DSC曲线在加热和冷却过程中表现出不对称的热通量峰值,形成典型的滞后现象,滞后温度为9.05 °C。滞后现象主要是由于TACJAM中VO2相变机制的一阶相变特性(如图3)。

在温度从25°C升高到80°C的过程中,VO2的峰值逐渐从27.83°转变为27.68°,64.77°的峰值分为两部分(即64.66°和65.41°)。VO2在25 °C和80 °C的所有主要衍射峰分别与VO2 (M)的单斜结构(PDF#82-0661)和VO2 (R)的四方金红石结构(PDF#76-0678)一致,表明VO2具有纯相结构,相变在68和80 °C完成。不同温度下TACJAM的衍射峰与相应温度下VO2的衍射峰基本一致。表明VO2存在于TACJAM并经历可逆相变(如图4)。

图4:不同温度下(从25 °C加热到80 °C)VO2 (a)和TACJAM (b)的XRD图。
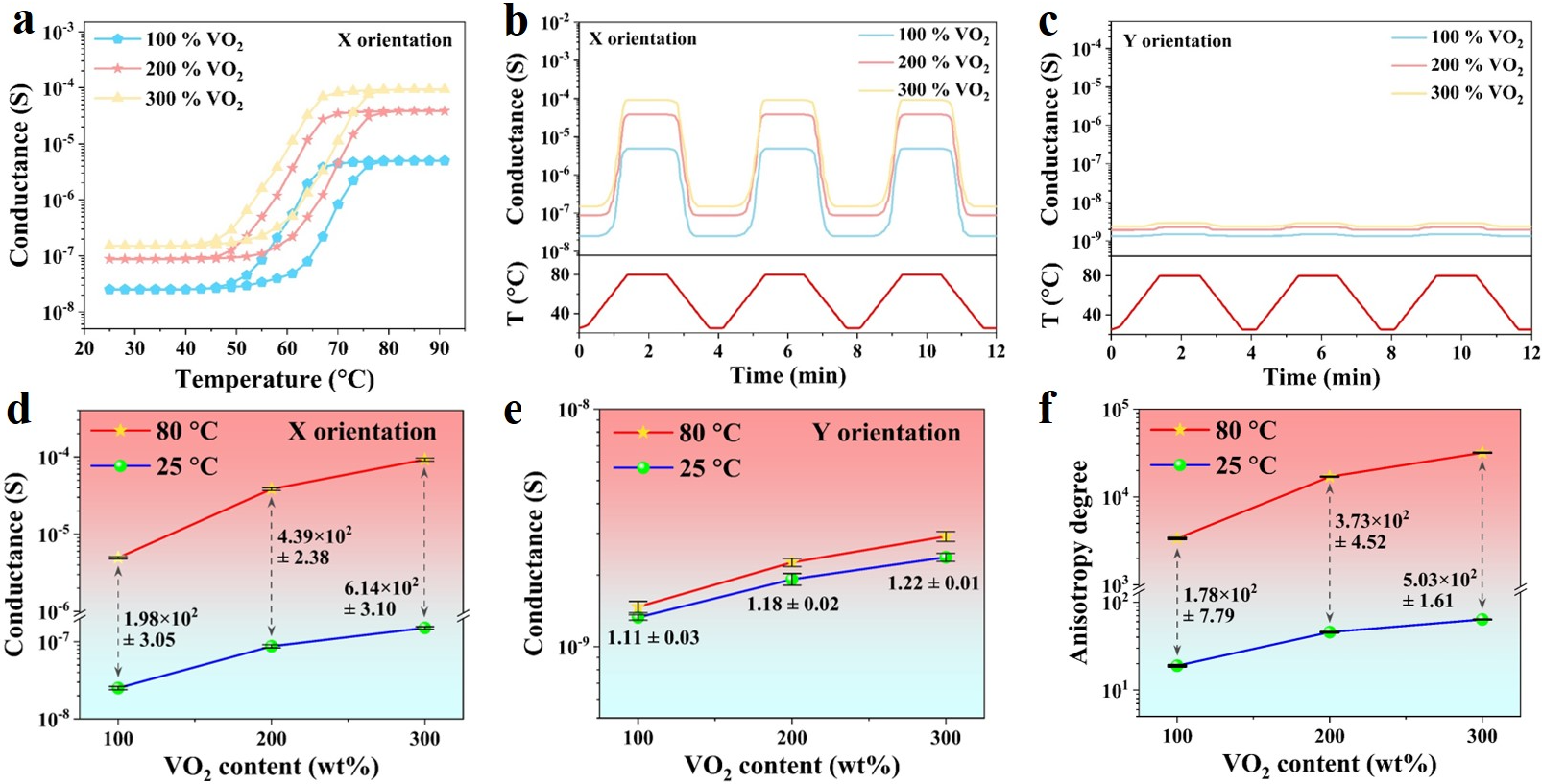
VO2/PMMA和Dy(acac)3bipy/PMMA分别是TACJAM中Janus纳米带的导电侧和绝缘荧光侧。当温度升高到相变温度时,半导体VO2 (M)转变为具有金属性质的VO2 (R),形成一个连续的导电网络,电子可以自由移动和传输,电流迅速增加。VO2/PMMA是导电的,Dy(acac)3bipy/PMMA仍然是绝缘的。这意味着TACJAM的电导在80 °C时具有很强的各向异性。在室温和加热条件下,TACJAM在X方向的电导随着VO2含量的增加而增加,而在相同条件下,TACJAM在Y方向的电导无显著变化。因此,TACJAM从25 °C到80 °C的导电各向异性程度增强也随着VO2含量的增加而增加(图5)。与对比样品相比,TACJAM具有最强的热导电各向异性(3.19 × 104)。Janus纳米带在构建优异的多功能热致ACMs方面具有更明显的结构优势(图6)。

图5:不同VO2质量比的TACJAM在不同方向上的温度依赖电导(a)和热导电特性(b, c);在25 °C和80 °C下,TACJAM不同方向的电导(d, e)和导电各向异性增强程度(f)随VO2含量的变化

图6:TACJAM和三个对比样品在不同方向上的导电性(a, b);TACJAM和三个对比样品在25 °C和80 °C下不同方向的电导(c, d)以及各向异性程度(e)和各向异性程度增强(f)
TACJAM的颜色随着VO2含量的增加而加深,TACJAM中的VO2吸收了更多的激发和发射光,导致TACJAM荧光强度降低。TACJAM的荧光发射强度随着温度的升高而降低,表明TACJAM具有温度淬灭特性。TACJAM的发射光颜色在黄光区域(图7)。与对比样品相比,TACJAM表现出更强的激发和发射峰强度。作为制备多功能纳米材料的结构单元,Janus纳米带比复合纳米带具有更大的结构优势(图8)。

图7:含有不同VO2含量的TACJAM在25 °C (a, d, g)和80 °C (b, e, h)下的激发光谱(a, b)、发射光谱(d, e)和CIE色度坐标图(g, h);Dy(acac)3bipy含量为10%和VO2含量为200%的TACJAM在不同温度下的激发光谱(c)、发射光谱(f)和CIE色坐标图(i)

图8:TACJAM和三个对比样品在25 °C (a, b, c)和80 °C (d, e, f)下的激发光谱(a, c)、发射光谱(b, d)和CIE色坐标图(c, f)。
TACJAM可应用于定向传导和集成电路领域。当TACJAM的X方向用作电路连接时,随着电路中TACJAM温度升至80 °C,指示灯正常工作;当使用TACJAM的Y方向作为电路连接时,电路中的指示灯在任何温度下都无法正常工作。此外,TACJAM在黑暗环境中,在295 nm紫外光照射下,可以在近白光区域发出黄色荧光,实现对TACJAM黑暗环境中工作状态的观察和可视化。当TACJAM加热到80 °C时,荧光强度降低,X方向的电导显著增加,因此灯笼亮起。这表明不同的功能可同时应用,并高度集成到同一材料中。如果灯笼发生故障无法发光,尽管很难根据TACJAM的电导直接确定其是否被加热,但仍可通过观察TACJAM荧光强度的变化来进行温度监测。这一新发现将为TACJAM的实际应用提供更广阔的前景(图9)。

图9:TACJAM在不同温度下在电路中的应用演示:灯笼在自然光下以X方向(a, b)和Y方向(c, d)连接到TACJAM;在黑暗环境中,295 nm紫外光照射下TACJAM在X方向(e, f)和Y方向(g, h)的可视化。
通过调节TACJAM中的VO2含量和温度获得可调的磁信号。随着TACJAM中VO2含量的增加,磁化强度增加。从25 °C升温至80 °C,TACJAM的磁化强度增大约6倍,这是由于TACJAM中的VO2从低温下的M相转变为高温下的R相(即V4+离子从低温二聚态转变为高温泡利顺磁态)。TACJAM表现出泡利顺磁性。本研究利用加热VO2同时赋予TACJAM磁性和导电性,达到一石二鸟的效果(图10)。

图10:不同VO2含量的TACJAM在25 °C (a)和80 °C (b)下的磁滞回线。
当TACJAM应用于防伪领域时,它在室温下表现出强的荧光,在X方向上具有弱导电性,弱各向异性导电性和磁性。这些性能会随着温度的变化而变化。加热TACJAM会减弱其荧光强度,将提高X方向的电导,增加其各向异性导电性和磁性。完整的真实性验证过程需要连续检测上述所有性能变化,验证过程需要两个特殊的密钥:295 nm紫外光和热刺激。只有通过上述步骤完全验证原始样品,才能确认其为正品(图11)。这种多模式防伪是通过监测TACJAM在加热过程中的四种性能变化来实现的,不仅大大提高了防伪安全性,而且不依赖昂贵的检测设备,具有显著的应用优势。

图11:基于TACJAM的多模防伪,使用295 nm紫外光和热刺激两个特殊密钥。
长春理工大学在读博士生刘晓娜为该项研究成果的第一作者。本研究报道的TACJAM有望拓展ACMs的实际应用领域,如智能热管理、温度报警、智能药物控释和多模成像,为防伪技术提供全新的解决方案,并提出新的设计策略来开发新型多功能热致ACMs。
论文链接:https://doi.org/10.1016/j.jcis.2025.139490
人物简介:
董相廷,长春理工大学化学与环境工程学院教授,博士,博士生导师。从事纳米材料与技术研究,主要研究方向为:电纺技术构筑光电磁多功能一维纳米结构材料与特性研究;电纺技术构筑稀土化合物一维纳米材料与发光性能研究;电纺、水热与溶剂热等及其结合技术构筑低维纳米材料与表征,并将所构筑的低维纳米材料应用于光催化分解有机污染物、光催化分解水制氢、电催化析氢和析氧、锂离子电池、锂硫电池、超级电容器和气体传感器中。以第1名获吉林省技术发明一等奖1项、技术发明二等奖1项、自然科学二等奖1项和吉林省自然科学学术成果奖一等奖2项;以通讯作者在Adv. Funct. Mater., Matter, Small, Renew. Sust. Energ. Rev., Chem. Eng. J., Renew. Energ., ACS AMI, Compos. Sci. Technol., Sensor Actuat B: Chem, J. Mater. Chem. C, Nanoscale等国际重要期刊发表论文500余篇,D指数44 (Research. Com);获授权国家发明专利100余件;研究成果引起领域内同行的高度关注。
谢云蕊,长春理工大学化学与环境工程学院副教授,博士,硕士生导师,吉林省高层次D类人才。主要从事光电纳米材料及纳米材料基摩擦纳米发电机(TENG)器件的开发与应用研究。主持国家自然科学基金青年项目、重庆市自然科学基金、吉林省自然科学基金等多个项目。以第一作者和通讯作者在Matter, Chem. Eng. J., J. Colloid Interf. Sci., Nanoscale, J. Mater. Chem. C, Sustain. Mater. Techno.等国际重要期刊发表论文10余篇,包括ESI 1%论文1篇。申请国家发明专利3件,授权国家发明专利1件。