一、研究背景
全球大气 CO2浓度从工业化前 280ppm 升至 2021 年的 420ppm,年排放量约 360 亿吨,直接空气捕集(DAC)技术能够直接从空气中去除CO2,是实现碳中和的关键途径之一。但传统集中式 DAC 工厂存在土地占用大、资本投入高、吸附剂再生能耗高的问题。

二、主要内容
基于此,芝加哥大学徐伯均教授团队与阿贡国家实验室、杜克大学、南洋理工大学合作共同研究开发了一种基于碳纳米纤维(CNF)的分布式DAC空气过滤器,可直接集成在建筑通风系统的下游实现CO₂捕集。该滤网不仅具备全球每年可去除5.96亿吨CO₂的潜力,还能同时降低建筑暖通空调(HVAC)系统的能耗。所制备的CNF吸附剂具有4 mmol/g的高吸附容量,可通过太阳热或电加热方式低碳再生。生命周期分析(LCA)表明,其从材料生产到报废的净碳去除效率高达92.1%。此外,技术经济分析(TEA)估算,从空气中捕集并封存1吨CO₂的成本为209–668美元。这项研究展示了一种将碳捕集系统嵌入城市建筑的新范式,使每一栋建筑都有潜力成为碳中和网络中的碳捕捉节点。相关成果以“Distributed direct air capture by carbon nanofiber air filters”为题发表于《Science Advances》期刊上。

图1 使用碳纳米纤维(CNF)吸附剂的直接空气捕集(DAC)空气过滤器的概念与优势。(A) 示意图展示了空气过滤器从流经的空气中吸附二氧化碳的过程,空气过滤器安装在常规颗粒过滤器下游。(B) 通过DAC空气过滤器每年在美国潜在的二氧化碳减排量。(C) 暖通空调(HVAC)系统的节能机制:(a) 在没有DAC空气过滤器的情况下,为了保持室内二氧化碳浓度处于安全健康水平,需要引入更多的室外空气;(b) 而在使用DAC空气过滤器后,所需通风量减少。(D) 基于CNF的碳捕集空气过滤系统流程图,包括通过可再生电力或直接太阳加热实现的吸附–解吸循环过程。(E) 基于CNF的吸附剂可通过(a) 太阳热能 或 (b) 可再生能源驱动的焦耳加热实现再生。
三、CNF 基 DAC 空气过滤器的设计与性能
制备工艺:通过静电纺丝和高温热解聚丙烯腈(PAN)得到 CNF 非织造框架,再浸渍支链聚乙烯亚胺(PEI)制成吸附剂。CNF 具有高比表面积(50.2m²/g)、多孔结构,可实现 PEI 均匀负载(16-78wt%),且 900℃热解后导电性能优异(面电阻 38.7Ω/sq)、太阳能吸收率达 94.4%。
吸附性能:在潮湿环境(68% 相对湿度)下,PEI 负载 78wt% 时吸附容量达 4mmol/g,远高于干燥环境(1.5mmol/g);对 CO₂选择性高,N₂吸附可忽略,且在典型暖通空调(HVAC)风速下压降低(4m/s 时 392Pa),适配现有通风系统。
再生方式:支持太阳能热再生(860W/m² 光照即可达 80℃再生温度)和电热再生(利用水电、风电等可再生能源,通过焦耳加热局部升温,减少热损失),再生后吸附容量稳定,40 次循环后仍保留 72.37%,后续 30 次循环仅下降 0.67%。

图2. DAC空气过滤器的制备及其CO₂吸附性能。(A) DAC空气过滤器的制备流程,包括静电纺丝、热解以及聚乙烯亚胺(PEI)浸渍。(B)碳纳米纤维无纺网的表面与截面形貌。(C) 基于非局域密度泛函理论(NLDFT)分析的孔径分布,比较了PEI浸渍前后CNF的孔结构变化。(D) 在25 ℃下测得的CO₂与N₂吸附等温线。插图为400 ppm CO₂分压下的局部放大图,展示了其高CO₂吸附容量与选择性。(E) 随温度由27 ℃升至105 ℃时,DAC空气过滤器的原位FTIR-ATR光谱变化。(F–G) 不同PEI负载量条件下,在(F)干燥与(G)潮湿空气中的穿透曲线。(H) 在含400 ppm CO₂的湿氮气环境中测得的DAC空气过滤器吸附容量。

图3. DAC空气过滤器的再生性能。(A) 不同碳化温度下制备的CNF材料的太阳吸收率。(B) 在不同太阳辐照强度下,DAC空气过滤器的理论温度变化。(C) 采用太阳热方式在不同光强条件下对DAC空气过滤器进行太阳能再生实验。插图为石英管中接受太阳光照射的基于CNF的吸附剂实物图。(D) 采用电加热方式在1 s、1.5 s和2 s加热时间下对DAC空气过滤器进行再生。(E) 不同循环次数下DAC空气过滤器的PEI质量与CO₂吸附容量变化。(F) CNF在PEI浸渍前后的压降对比。
四、生命周期评估(LCA)与技术经济分析(TEA)
LCA 结果:全生命周期(从摇篮到坟墓)碳去除效率显著,太阳能热再生时达 92.1%,碳足迹仅 0.073kg CO₂/kg 捕获量;水电驱动电热再生效率 90.5%,而光伏、地热驱动效率较低(约 50%)。此外,该过滤器土地占用、淡水生态毒性和人体毒性均低于其他再生方式,且无需额外建设工厂,减少环境影响。
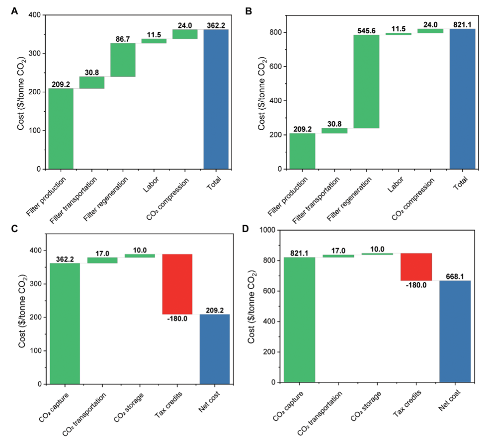
TEA 结果:在年产5000万片滤网的集中制造条件下,若采用太阳热再生方式,CO₂捕集成本约 209–362 美元/吨;若采用电加热方式,成本为 541–821 美元/吨。若计入 CO₂运输、储存成本及税收抵免后,捕获与储存总成本降至 209-668 美元/吨,处于当前集中式 DAC 成本范围(100-1000 美元/吨)内,具备经济可行性。

图4. 使用DAC空气过滤器的分布式直接空气捕集与封存过程的生命周期评估。(A) 系统边界。cradle-to-gate 边界包括吸附剂的生产与使用寿命终端处置;cradle-to-grave 边界涵盖DAC空气过滤器的生产、运行、CO₂封存及最终处置。(B) 四种不同胺基吸附剂在 cradle-to-gate 阶段的碳足迹比较。(C) 基于不同电力供应(如光伏,PV)的直接空气捕集与封存全过程(cradle-to-grave)碳足迹评估。(D) DAC空气过滤器在直接空气捕集中的去除效率及其从 cradle-to-grave 的整体碳去除效率。(E–F) 每去除 1 kg CO₂ 所带来的环境影响,包括 (E) 土地使用与 (F) 淡水生态毒性。
五、应用价值与优势
1、环境效益:全球潜在年 CO₂去除量达 596 兆吨,约占 2020 年全球年排放量的 1.8%,助力碳中和;同时减少 HVAC 系统新风需求,降低建筑能耗(HVAC 占全球能耗 30%、温室气体排放 10%)。
2、健康与经济价值:可将室内 CO₂浓度控制在 1000ppm 以下,避免认知能力下降、头痛等健康问题;依托全球数十亿现有通风系统,无需新建工厂,资本投入低,易规模化推广。

图5. 基于碳纳米纤维空气过滤器的分布式碳捕集与封存的平准化成本分析。(A) 采用太阳能热再生方式的CO₂捕集成本;(B) 采用电加热再生方式的CO₂捕集成本;(C) 基于太阳能热再生的CO₂捕集与封存平准化成本;(D) 基于电加热再生的CO₂捕集与封存平准化成本。
六、结论
综上所述,该研究通过将碳纳米纤维的光热、电导与多孔特性相结合,创新性地实现了分布式、低能耗、可再生驱动的直接空气捕集技术。CNF空气滤网可直接安装于建筑通风系统,在减少CO₂浓度的同时降低HVAC能耗,为城市级碳中和提供了可行技术方案。该工作不仅为DAC技术的普及提供了全新思路,更展示了材料科学在应对全球气候变化中的关键作用。
原文链接:https://www.science.org/doi/10.1126/sciadv.adv6846