太阳能界面蒸发技术因其绿色、低能耗等优点,被视为解决全球淡水危机的重要方案之一。然而,自然光照具有间歇性(如昼夜交替、多云天气),导致传统蒸发器在无光时段性能急剧下降,无法实现连续、稳定的水生产,这严重制约了其实际应用。将相变材料(PCMs,如聚乙二醇PEG)集成到蒸发器中,是解决这一问题的有效思路。PEG能在光照时熔化并储存热量,在无光时凝固并释放热量,从而驱动持续蒸发。但PEG在多次固-液循环中易发生泄漏,导致性能衰减和寿命缩短,这是该技术走向应用面临的核心挑战。

近日,武汉纺织大学纺织纤维及制品教育部重点实验室的王栋教授团队在可持续海水淡化技术领域取得重要进展。他们成功设计并制备了一种基于乙烯-乙烯醇共聚物(EVOH)纳米纤维气凝胶和相变材料聚乙二醇(PEG)的形状稳定相变复合材料(C-EVOH-PEG)。该材料通过独特的物理束缚作用,有效防止了相变材料泄漏,并能将日间的太阳能以热能形式储存,在无光条件下持续用于水蒸发,实现了不受自然阳光间歇性限制的、持续高效的太阳能海水淡化。相关工作以“Design of EVOH nanofibers aerogel integrated with phase change materials for sustained solar-driven seawater desalination”为题发表于国际著名期刊《Chemical Engineering Journal》。
该研究团队基于乙烯-乙烯醇共聚物(EVOH)纳米纤维气凝胶与聚乙二醇(PEG),研制出一种形状稳定的相变复合材料C-EVOH-PEG,可用于可持续太阳能海水淡化。该材料借助C-EVOH气凝胶的多孔通道所产生的毛细作用力,以及PEG分子链段与EVOH纳米纤维之间的氢键相互作用,有效抑制了PEG的泄漏,表现出极低的泄漏损失率。C-EVOH-PEG复合材料具有较高的能量存储容量。相较于其他相变材料复合蒸发器,该材料在光照条件下蒸发速率显著,在黑暗条件下仍保持较高蒸发性能。此外,复合材料在高盐度环境中展现出良好的耐盐性,并对海水及多种废水具有优异的脱盐能力。本研究为提升连续式太阳能海水淡化系统的运行稳定性提供了一种有效的解决方案。
【研究创新】双管齐下,锁住PEG于三维网络
1、物理协同束缚,实现超低泄漏: 研究团队利用简单的真空浸渍法将PEG封装进EVOH气凝胶的三维多孔网络中。该气凝胶的孔道结构能产生强大的毛细作用力,同时,EVOH分子链上丰富的羟基与PEG分子链之间可形成密集的氢键网络。毛细力与氢键的协同效应,如同为液态的PEG上了一道“双保险”,即使在其熔化后也能被牢牢锁住。实验表明,该复合材料在经过20次热循环测试后,泄漏损失率仅为1.77%,展现了卓越的形状稳定性和长期使用潜力。
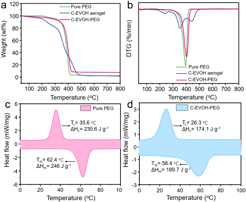
2、高效光热转换与热能储存: 通过在气凝胶中引入碳纳米管(CNTs),复合材料具备了优异的光吸收能力(在250-2500 nm波段吸收率高达95%)。更重要的是,得益于PEG的稳定封装,复合材料具有高达189.7 J g⁻¹的相变焓值,意味着强大的热能储存能力。
【性能卓越】全天候高效蒸发,应用前景广阔
1、全天候高效蒸发: 在1个太阳光照强度(1 kW m⁻²)下,蒸发速率达到2.08 kg m⁻² h⁻¹;关闭光源后,凭借PEG释放的潜热,蒸发速率仍能维持在1.14 kg m⁻² h⁻¹的较高水平,显著优于多数已报道的相变复合材料蒸发器。
2、卓越的耐盐性: 即使在21 wt%的高浓度盐水中,材料仍能保持1.814 kg m⁻² h⁻¹的高蒸发速率,且其超亲水性和多孔结构能快速溶解并排斥表面盐分,防止结垢堵塞。
3、强大的实际净化能力:对真实渤海海水进行淡化后,Na⁺、Mg²⁺、K⁺、Ca²⁺等主要离子的去除率均超过99.9%,产水水质达到世界卫生组织(WHO)饮用水标准。同时,该蒸发器对染料废水、强酸/强碱废水也表现出优异的净化效果。
【图文导读】

图1 C-EVOH-PEG复合材料的制备流程示意图。

图2 C-EVOH-PEG复合材料的结构表征及高斯模拟氢键形成。

图3 C-EVOH-PEG复合材料的相变行为分析。

图4 C-EVOH-PEG复合材料的亲水性及防泄漏率测试。

图5 C-EVOH-PEG复合材料的光热蒸发性能测试及热量平衡分析。

图6 C-EVOH-PEG复合材料的耐盐性测试。

图7 C-EVOH-PEG复合材料海水淡化及户外蒸发实验。
【主要结论】
本研究成功开发了一种具有超低泄漏率的形状稳定相变复合材料,通过巧妙的结构设计解决了PCMs泄漏的瓶颈问题,为实现连续、稳定、高效的太阳能驱动海水淡化和废水净化提供了一种可扩展的新策略。。
论文链接:
https://doi.org/10.1016/j.cej.2025.168858
【作者简介】
王栋,武汉纺织大学二级教授,博导,现任武汉纺织大学党委常委,副校长、研究生院院长、学科办主任,纺织纤维及制品教育部重点实验室主任。获评国家“万人计划”青年拔尖人才、教育部“新世纪优秀人才”,享受国务院政府特殊津贴。荣获全国五一劳动奖章、美国纤维学会杰出成就奖、中国青年科技奖、中国纺织工程学会纺织学术大奖等奖项。长期致力于先进纤维新材料及其与生物、电子、能源、环境等交叉学科领域的创新研究工作。
武艺,武汉纺织大学技术研究院副教授,硕士生导师,入选湖北省楚天学者计划。主要从事仿生超浸润材料和纤维基过滤分离材料研究,以第一/通讯作者在ACS Nano, Nano Lett., Chem. Eng. J.,等期刊上发表SCI论文20余篇,申请国家发明专利9项,授权5项。目前主持国家自然科学基金、湖北省自然科学基金、湖北省教育厅科研项目等10余项。